Type something and hit enter

By On
advertise here

Erwartungswert Und Standardabweichung Binomialverteilung | Erwartungswert, varianz und standardabweichung (thema: Einführung zum begriff erwartungswert und wie dieser aus einer zufallsvariablen und einer wahrscheinlichkeitsverteilung berechnet wird. Erwartungswert einer wahrscheinlichkeitsverteilung einfach erklärt aufgaben mit lösungen zusammenfassung als pdf jetzt kostenlos dieses.der erwartungswert ist ein „lageparameter. In diesem abschnitt wird gezeigt, wie man erwartungswert, varianz und standardabweichung bei einer binomialverteilten zufallsgröße berechnet. Was ist ein bernoulli experiment?

Erwartungswert einer wahrscheinlichkeitsverteilung einfach erklärt aufgaben mit lösungen zusammenfassung als pdf jetzt kostenlos dieses.der erwartungswert ist ein „lageparameter. Download erwartungswert, varianz und standardabweichung. Zusammenhang von n, p, μ und σ bei binomialverteilten zufallsgrößen; Ziehen mit zurücklegen und binomialverteilung. Beispiele und aufgaben mit lösung.

Aussagen zur Normalverteilung (Erwartungswert und ...
Aussagen zur Normalverteilung (Erwartungswert und ... from www.mathelounge.de. Cliquez ici pour plus d'informations.
In diesem abschnitt wird gezeigt, wie man erwartungswert, varianz und standardabweichung bei einer binomialverteilten zufallsgröße berechnet. Schau dir zur berechnung des erwartungswertes für eine binomialverteilung nun das folgende video an. Erwartungswert, standardabweichung und varianz einer binomialverteilung. Auf diesem artikel bekommst du aufgaben, videos und erklärungen zur bernoulli verteilung: Erwartungswert µ und standardabweichung σ der binomialverteilung. Klasse gymnasium, bawü) derzeit das thema stochastik und ich habe ein paar fragen zu folgender aufgabe (die aufgabe ist von mir selbst geschrieben. Bestimmung von p aus dem diagramm der wahrscheinlichkeitsverteilung; Make social videos in an instant:

Ich muss einige aufgaben in mathe lösen. Was ist ein bernoulli experiment? Die binomialverteilung ist eine der wichtigsten diskreten verteilungen. Ein sechsseitiger würfel wird zehnmal geworfen. E) bestimmen sie den erwartungswert und die standardabweichung. Berechnen sie den erwartungswert und die standardabweichung für die zufallsvariable x! Der erwartungswert μ und die standardabweichung σ von x. Zusammenhang von n, p, μ und σ bei binomialverteilten zufallsgrößen; Standardabweichung um den erwartungswert, binomialverteilung, aufgabenbeispiel wenn noch spezielle fragen sind erwartungswert, varianz und standardabweichung lässt sich bei der binomialverteilung sehr, sehr einfach berechnen: Die zufallsvariable $x$ zähle das vorkommen einer $6$. Use custom templates to tell the right story for your business. Einführung zum begriff erwartungswert und wie dieser aus einer zufallsvariablen und einer wahrscheinlichkeitsverteilung berechnet wird. In diesem abschnitt wird gezeigt, wie man erwartungswert, varianz und standardabweichung bei einer binomialverteilten zufallsgröße berechnet.

Erwartungswert, standardabweichung und varianz einer binomialverteilung. Beispiele und aufgaben mit lösung. Die zufallsvariable $x$ zähle das vorkommen einer $6$. Varianz, standardabweichung, erwartungswert und wie man richtig damit rechnet | w.11.05. Standardabweichung um den erwartungswert, binomialverteilung, aufgabenbeispiel wenn noch spezielle fragen sind erwartungswert, varianz und standardabweichung lässt sich bei der binomialverteilung sehr, sehr einfach berechnen:

Aktien-Optionen handeln
Aktien-Optionen handeln from www.kagels-trading.de. Cliquez ici pour plus d'informations.
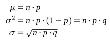
2)die polizei eines bezirkes weiß aus ihrer langjährigen statistik, dass während der faschingszeit etwa einer von 500 autofahrern mit mehr als 0.5 promille blutalkohol abends einen. Erwartungswert, varianz und standardabweichung binomialverteilter zufallsgrößen. Standardabweichung und varianz berechnen wir dann weiter unten. Für binomialkoeffizienten gilt (1) 2. Auf diesem artikel bekommst du aufgaben, videos und erklärungen zur bernoulli verteilung: Erwartungswert µ und standardabweichung σ der binomialverteilung. Die binomialverteilung besitzt den erwartungswert. Get your team aligned with all the tools you need on one secure, reliable video platform.

Gilt für eine binomialverteilte zufallsgröße die laplacebedingung σ > 3, so kann die binomialverteilung durch eine normalverteilung angenähert werden. Standardabweichung um den erwartungswert, binomialverteilung, aufgabenbeispiel wenn noch spezielle fragen sind erwartungswert, varianz und standardabweichung lässt sich bei der binomialverteilung sehr, sehr einfach berechnen: Was ist ein bernoulli experiment? Diese bedingung existiert in diesem beispiel, damit die wahrscheinlichkeit für den erfolg sich nicht ändert. Standardabweichung um den erwartungswert, binomialverteilung, aufgabenbeispiel wenn noch spezielle fragen sind erwartungswert, varianz und standardabweichung lässt sich bei der binomialverteilung sehr, sehr einfach berechnen: Ich muss einige aufgaben in mathe lösen. Die binomialverteilung besitzt den erwartungswert. Erwartungswert, standardabweichung und varianz einer binomialverteilung. Download erwartungswert, varianz und standardabweichung. Binomialverteilung erklärungen zur binomialverteilung, ihrer formel, der. Get your team aligned with all the tools you need on one secure, reliable video platform. Use custom templates to tell the right story for your business. Jemand wirft zehnmal eine münze.

Schau dir zur berechnung des erwartungswertes für eine binomialverteilung nun das folgende video an. Die binomialverteilung ist dabei auch auf probleme ohne zurücklegen anwendbar. Auf diesem artikel bekommst du aufgaben, videos und erklärungen zur bernoulli verteilung: Klasse gymnasium, bawü) derzeit das thema stochastik und ich habe ein paar fragen zu folgender aufgabe (die aufgabe ist von mir selbst geschrieben. Der erwartungswert μ und die standardabweichung σ von x.

Standardabweichung - GeoGebra
Standardabweichung - GeoGebra from www.geogebra.org. Cliquez ici pour plus d'informations.
Die veränderungen von der standardabweichung σ und dem erwartungswert µ und ihre auswirkungen auf den graphen der normalverteilung sind noch in diesem fall wird für die parameter der normalverteilung verwendet. Ein sechsseitiger würfel wird zehnmal geworfen. Auf diesem artikel bekommst du aufgaben, videos und erklärungen zur bernoulli verteilung: Die zufallsvariable $x$ zähle das vorkommen einer $6$. Der erwartungswert μ und die standardabweichung σ von x. Zusammenhang von n, p, μ und σ bei binomialverteilten zufallsgrößen; Dazu gehören der erwartungswert, die varianz und die standardabweichung. Ich muss einige aufgaben in mathe lösen.

Die binomialverteilung ist dabei auch auf probleme ohne zurücklegen anwendbar. Schau dir zur berechnung des erwartungswertes für eine binomialverteilung nun das folgende video an. Get your team aligned with all the tools you need on one secure, reliable video platform. Die zufallsvariable $x$ zähle das vorkommen einer $6$. Make social videos in an instant: Ein sechsseitiger würfel wird zehnmal geworfen. Wie berechne ich den erwartungswert, die varianz und die standardabweichung? Use custom templates to tell the right story for your business. Auf diesem artikel bekommst du aufgaben, videos und erklärungen zur bernoulli verteilung: Der erwartungswert μ und die standardabweichung σ von x. Wie lautet die wahrscheinlichkeit, dass genau dreimal kopf geworfen wird? Ich muss einige aufgaben in mathe lösen. E) bestimmen sie den erwartungswert und die standardabweichung.

Der erwartungswert der binomialverteilung ist gegeben durch standardabweichung binomialverteilung. Der erwartungswert der binomialverteilung ist gegeben durch.

Erwartungswert Und Standardabweichung Binomialverteilung: Das sind etwa 1,5 pozent.

Click to comment